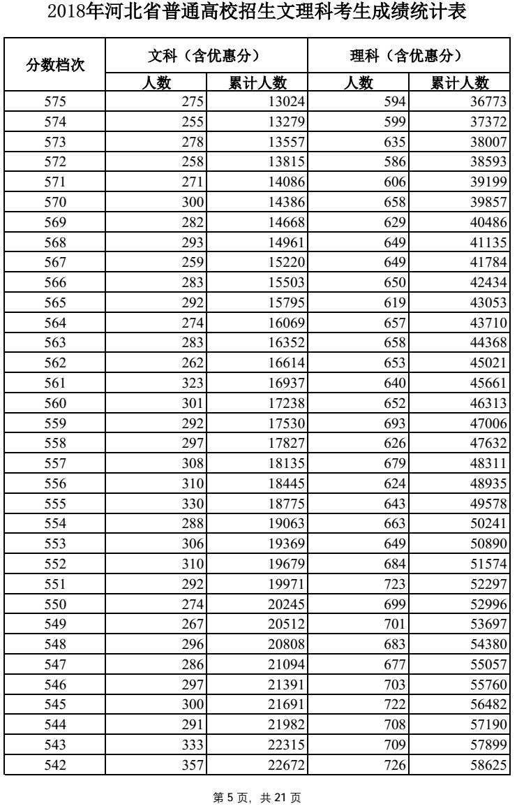
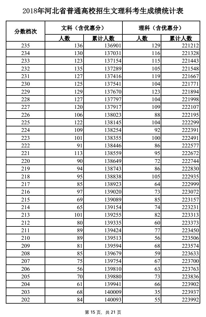
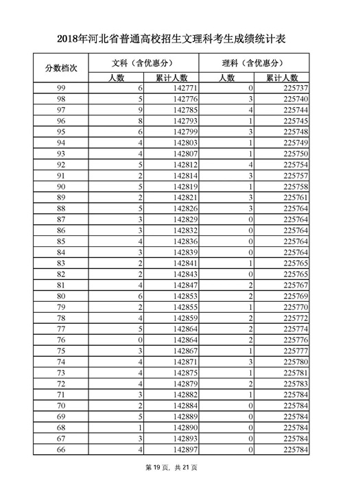
快看!2018年河北省高考一分一档统计表出炉!
最新!2018年河北省普通高校招生文理科考生一分一档统计表公布啦!请往下看!
河北考生和家长可登录河北省教育考试院网站(网址:www.hebeea.edu.cn)查询全部的一分一档统计表!
2018年河北省普通高校招生
文理科一分一档统计表
(点击看大图)





















(更多详细统计请查看省教育考试院网站)
(来源:燕赵赵都市报冀东版)
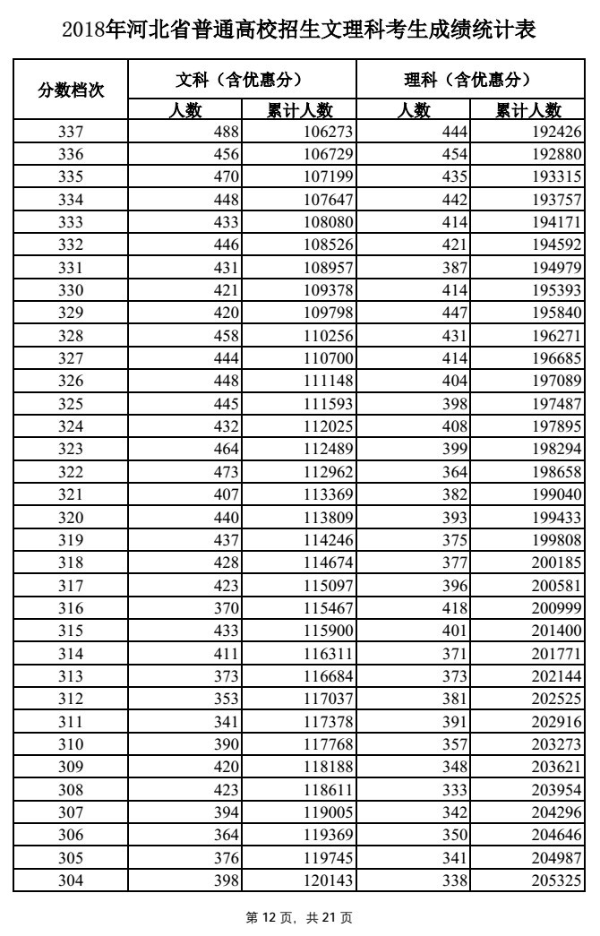
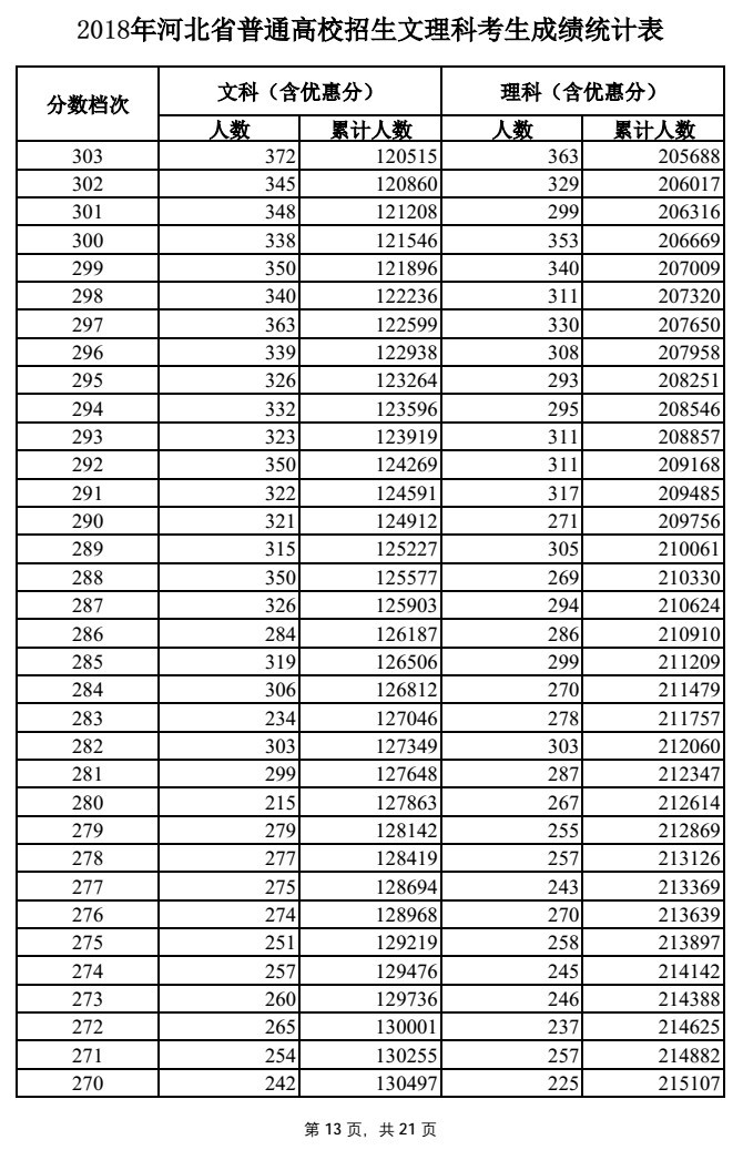
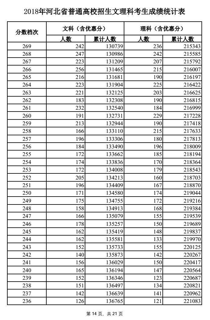
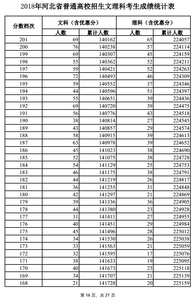
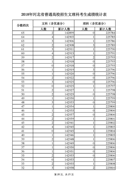
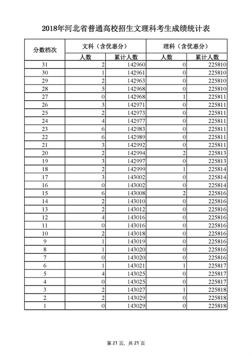
快看!2018年河北省高考一分一档统计表出炉!
最新!2018年河北省普通高校招生文理科考生一分一档统计表公布啦!请往下看!
河北考生和家长可登录河北省教育考试院网站(网址:www.hebeea.edu.cn)查询全部的一分一档统计表!
2018年河北省普通高校招生
文理科一分一档统计表
(点击看大图)





















(更多详细统计请查看省教育考试院网站)
(来源:燕赵赵都市报冀东版)
农村常见的朝天委陵菜有什么利用价值 一,朝天委陵菜的植物学信息 1,名称和分类位置 朝天委陵菜是正式中名,这个名称来源于《中国高等植物图鉴》;它的别名在《东北植物检索表...
中国人能在泰国租妻吗? 首先,租妻文化在泰国已经发展多年,先给大家说一下价格问题,这个要因人而定,好点的和差点的自然价格就不一样。一般情况,日租价格在5000泰铢左右,...
小三劝退师:年收入百万的背后,暴露的是无数痛苦的婚姻 在这个现代社会,婚姻问题一直是一个备受关注的话题。而随着社会的发展,出现了一个特殊的职业群体——小三劝退师。他...
替人担保拒不履行 尾号“8888”手机靓号被拍卖! 今天(8月20日),常州溧阳法院公布了一起案例。最近,溧阳的孙某帮朋友借款做担保人,结果朋友还不上钱,孙某也拒不履行,法官...
从改革先锋到‘土皇帝’:禹作敏的末路狂欢 1999年,天津静海县一间牢房里,曾头顶“全国劳模”“农民企业家”光环的禹作敏用床单结束生命。这个把贫困村变成“华夏第一庄”的...
北电回应艺考生被曝作弊 近日,有关北京电影学院(简称北电)艺考生作弊的传闻在网络上引起广泛关注。针对此事,北电方面迅速作出回应,表示正在对此事进行核查,并将依法依规...
网友爆料张柏芝三胎曝光生父惊天大秘密谢霆锋? 据网友爆料,张柏芝第三个孩子的亲生父亲终于揭晓。 经过亲子鉴定,确认孩子的亲生父亲就是谢霆锋。 最近张柏芝与谢霆锋的关系再...
孤岛文学——民族不屈的坚守 1937年11月12日,上海在经历了三个月的顽强抵抗后,最终沦陷。“东方巴黎”成为日本侵略者的殖民地,在这沉痛的土地上,坚定地矗立起一座不朽的丰碑...
微信零钱支付限额怎么解决?只需一步操作,简单易懂! 微信零钱支付限额如何解决,这个问题想必困扰了很多人。不少人在网上找了许多教程,却依然无果。实际上,解决方法有不少...
王者荣耀稷下试炼之地怎么打 稷下试炼之地怎么过 稷下试炼之地是“稷下学院”章节中的第四个关卡也是最后一个关卡,如果前面你都是三星评价的话,那么这个关卡就关系到我们能...
汉南在哪里? 说起汉南大家可能不是很熟悉,汉南也是武汉的一个区,可他一直是默默无闻低调的存在,不像他的两个兄弟那样风光闻名,说起汉口、汉阳没人不知道。即便是好多武汉...
海南房价暴涨后暴跌,8年的轮回天堂和地狱仿佛一场梦 海南的房价暴涨之后暴跌,8 年的轮回感觉就像是一场梦。 1. 各位网友大家好,这里是海南儋州的海花岛。海花岛 2015 年开盘,...
功夫巨星李小龙和他儿子李国豪都是英年早逝,李国豪没留下后代 #暑期创作大赛#李国豪,是著名功夫影星李小龙唯一的儿子,生于美国加利福尼亚州,出生日期为1965年2月1日,去世日...
“两边铲光,中间不动”,2024秋季男生新潮发型,剪这3款太帅了 发型对于咱们男生来说真的是太重要了,对于颜值一般的男生来说,剪一款适合自己的好看发型可以很好的给自己的颜...
香菜表情包图在日本火了 花泽香菜为什么不笑了原因 花泽香菜并没有因为演戏耽误学业,反而是花更多的时间读喜欢的书,平时里记者拍到的她都是自然爽朗的笑。但是现在她都是捂...
孙悟空原型石国人石槃陀 孙悟空的形象虽然因《西游记》而妇孺皆知,但考古发现早在西夏年间,甘肃省安西县万佛峡的榆林窟内就已经创作出《唐僧取经图》壁画,画中唐僧玄奘身旁...
浪姐王霏霏被曝疑有恋情?留言亲密显暧昧,同款戒指手链引猜测 9月7日,有网友发现王霏霏在社交平台上与一花美男外形的帅气男性亲密互动,两人还有同款戒指和手链,疑似恋情曝...
揭秘第一太监李莲英的真正死因 李连英(1848年11月12日—1911年3月4日),原名李进喜,清咸丰五年净身为太监,翌年入宫。同治六年,受封二总管。慈禧太后赐名莲英,俗作莲英。在宫...
欢乐变悲剧!飞椅立柱倾倒,游客的“致命盲点”是什么? 镇平县发生了一起令人痛心的游乐设施事故。在一个本应充满欢声笑语的游乐场所,一场意外却让欢乐瞬间变成了悲剧。这起...
林家川:父亲强捧不红,《狂飙》却让他红的发紫 林家川,这个名字听起来很陌生,与演员对上号以后,才恍然大悟,原来是熟悉的面孔。他经常活跃在屏幕前,但都是演反面人物,非...