北洋大学堂——中国人自己创办的第一所现代大学
作者:吴骁(武汉大学)
按:今天,是本国历史上第一所真正由中国人自己创办的现代大学——北洋大学堂(今天津大学前身)正式开学125周年纪念日,事实上,这一日期直到最近几年才被考证出来,实属不易。
1925年,全国国立大学中历史最为悠久的北洋大学首次举办校庆活动。当时,机械专业出身的时任校长刘振华(字仙洲,后以字行)曾撰文指出,“本校成立纪念日,因庚子以前案卷毁于兵燹,向来未有记述。振华到校后,时遇学生询问,亦未能置答。今春穷治校史,将历年档案暨印行《一览》、《同学录》等,尽量搜讨”,最后查到该校在清末“奉旨批准”的时间为光绪二十一年八月十四日(即公元1895年10月2日),鉴于“本校庚子以前数年曾有极重要不可删之历史,其正式成立及正式开学之日期虽无从征信,而奉旨批准之日,实为本校一切进程发源之日”,故在前两个标志性日期一时暂不可考的前提下,只能将当时可以查明的“奉旨批准之日”(10月2日)确定为“本校成立纪念日”,“以较为合宜”。从此,这个“校庆日”便被北洋大学(天津大学)一直沿用了近百年的时间,直至今日。
2015年,上海交通大学党史校史研究室副主任欧七斤老师根据上海图书馆馆藏盛宣怀档案中的相关内容,考证出北洋大学堂正式“开办”的日期为1895年10月18日,同时,还将该学堂“开课”日期的时间范围缩小至1895年11月17-21日。
2017年,珠海市高新区唐家历史文化研究会秘书长唐越先生根据1895年底的《香港华字日报》中的相关记载,最终考证出北洋大学堂正式开学的日期为1895年11月17日。至此,这一跨越了三个世纪的历史悬案,方才最终得以破解。
关于这一学术问题前后“接力”将近百年的考证过程与结果,也充分说明,“学术乃天下之公器”,作为100多年前在救亡图存、兴学强国的时代洪流中由中国人自己创办的第一所现代大学,北洋大学堂波澜壮阔的建校历史,当然也不应该仅仅只是今天的天津大学所独享的历史遗产,而更应被视为整个中国学术、教育界所共同拥有的宝贵历史财富。
谨以此文,向百余年前共同创造了这段光辉史迹的时代先驱与先贤们致以最诚挚的敬意!
众所周知,作为一个在19世纪中期因被西方列强用“坚船利炮”打开国门,慢慢地陷入半殖民地化的历史深渊,最终被迫走上“后发外生型”现代化道路的后起国家,中国的现代高等教育并非是由本国源远流长的古代高等教育一脉相承地延续发展而来,而是在国门洞开、“西学东渐”的历史背景下,由国内外的若干先进人士直接将西方现代高等教育的基本制度与形式逐步引进和“移植”而来。
从19世纪30年代末开始,西方各国教会在中国的领土上陆陆续续地创办了不少教会学校。当时,西方社会的“小学-中学-大学”三级学制早已成型,故外国传教士在华办学时,通常都是首先从最低层次的启蒙教育或初等教育入手,然后再在此基础上循序渐进地陆续开办中等教育乃至高等教育。从19世纪80年代初到90年代初,山东登州文会馆(齐鲁大学前身)、北京汇文书院与潞河书院(均为燕京大学前身)、上海圣约翰书院(圣约翰大学前身)等著名教会学校先后开设了大学课程,成为中国的土地上最早出现的几所现代大学。
另一方面,从19世纪60年代初开始,为御侮图强,清政府中的洋务派也在全国各地开办了不少以“西文”、“西艺”为主要学习内容的所谓“洋务学堂”。与教会学校的办学路径截然相反的是,由于洋务派最初对西方的教育制度所知甚少,只是要针对各项洋务事业的具体需要直接培养相应的各类专门人才,故从一开始就选择了开办各种专门教育。然而,由于这些专门教育缺乏普通教育作为基础,因此,所有的洋务学堂均须从初等教育或中等教育开始“补课”,然后才有可能在此基础上施行专门教育。在实际的办理过程中,大多数洋务学堂的基本程度只是停留在中等专业教育层次,但也有少数水平较高者如京师同文馆、福建船政学堂、天津水师学堂等脱颖而出,突破了中等教育的范畴,初步地达到了相当于现代高等专科教育的办学层次。然而,由于洋务教育始终未能构筑起一套层次分明、界限清晰的学制体系,因此,即使是其中办学水平最高的少数佼佼者,也不能算作现代意义上的正规大学。
总之,在中日甲午战争前夕,中国境内虽然已经有了少数几所现代大学,但均为外国教会所办,这些教会大学对于中国的教育发展与社会进步固然也具有非常重要的意义,然而,在它们正式向中国政府立案之前,其存在本身即为对中国教育主权的侵犯。直到甲午战后,在空前深重的民族危机的刺激下,中国政府才最终选择了借鉴西方高等教育模式,在自己的国土上自主创办了第一所官办的现代大学——北洋大学堂。
为什么说北洋大学堂是中国人自己创办的第一所现代大学呢?其实,这本是中国教育史上的一个基本常识,只不过由于种种原因,近些年来屡遭各种无谓的“挑战”,现在,笔者就以若干基本史实以及全国学术界近年来的一些最新研究成果为据,重申并再次牢固地树立这一“常识”。
第一,北洋大学堂是洋务派最早开始反思洋务教育弊端、努力构建三级学制的产物。
作为洋务派的重要代表人物,盛宣怀在办理洋务教育方面原本颇有建树,而更为难得的是,在所有的洋务大员中,他最先感受到了洋务教育的一些根本性缺陷,并试图用更加先进的教育模式取而代之。到了甲午前后,盛宣怀逐渐认识到,仅仅只是办理一些急功近利、揠苗助长的专门教育,学习一点肤浅的“西文”、“西艺”,那是远远不够的,必须要在全国范围内大力发展从初等教育、中等教育稳步递进至高等教育的有组织、有系统的普通教育,并且将学习内容扩展到更为深邃的“西政”、“西学”上去,这才是更为有效的救亡图存之道。
为此,在1895年前后,盛宣怀制定了一项在全国各地捐款设学的全盘计划,决定在天津、上海两地分别设立北洋大学堂与南洋大学堂(即后来的南洋公学,交通大学前身),在全国的23座省城各设小学堂1所,为这两所“大学堂”及其所附“中学堂”分别提供合格生源,另外还在北京、天津、上海三地各设1所短期培训性质的“时中书院”,所有办学经费均由他一手掌控的轮船招商局、电报局、金矿局等“官督商办”企业予以捐助。
这一整套办学计划,可以说是盛宣怀这位并非专门主管教育事业的四品官员,出于一番为国育才的公心,试图在最大限度上努力调动自己所掌握的有限权力与资源,在全国范围内初步构建一个从小学、中学直至大学的现代三级学制体系的首次尝试。因此,从这个角度来看,北洋大学堂最初的开办目标,便是要建成一所完全有别于以往的各种办学层次含混不清的洋务学堂、在普通教育的框架体系内实施正规高等教育的现代大学,而最终先后成功地创办了北洋大学堂与南洋公学这两所中国最早的官办大学的盛宣怀本人,后来曾被一些学者誉为“中国近代高等教育第一人”,亦属实至名归。

北洋大学堂创始人、首任督办盛宣怀(1844-1916)
第二,北洋大学堂在全国各官办学堂中进行了最早的现代大学制度设计。
1892年,盛宣怀出任津海关道后,多次与时任直隶总督兼北洋大臣李鸿章的家庭教师、早年先后毕业于美国达特茅斯学院与欧柏林学院研究院的前公理会传教士、后又出任美国驻天津副领事的丁家立(Charles Daniel Tenney)商议创办一所新式大学。到了1895年,当中国在甲午战争中惨败之后,盛宣怀加快了大学的筹办进程,并委托丁家立负责具体的筹办事宜。当年9月10日,丁家立起草了一份规划书,将这所筹建中的大学命名为“天津大学”(Tientsin University),并参照美国的高等教育体制,将其办学层次划分为“预备学校”(Preparatory School)与“技术学院”(Technical College)两级,也就是美国大学中的预科与本科,其中译名后来分别定为“二等学堂”与“头等学堂”。此外,丁家立还提出要组织一个考察团,赴欧美主要国家搜集各国大学章程,比较其大学体系之优劣,并在其报告书中完整、详尽地阐述如何建立一所能够满足中国之需要、并且适应中国之国情的“技术学院”。

北洋大学堂创始人、首任总教习丁家立(1857-1930)

1895年9月10日,丁家立拟订的“天津大学”(Tientsin University)规划书手稿(第1页)
经盛宣怀与丁家立“考究再三”,拟定了“天津头等、二等学堂章程、功课、经费”,较为详实、完备地规定了这两所学堂教职员的聘任与管理、学生的招录与分类教育、学科专业设置与历年课程、常年经费预算与分配、校舍与仪器设备的布置等内容,堪称中国现代高等教育史上的第一个官办大学堂章程。当时,盛宣怀还特别强调,“当赶紧设立头等、二等学堂各一所,为继起者规式”,而在事实上,北洋大学堂的这套办学章程,对于后来南洋公学、京师大学堂、山西大学堂等官办大学的创办,均起到了一定的示范与“规式”作用。
第三,北洋大学堂是全国第一所以“大学堂”命名的近代新式学堂。
“大学堂”一词,系清末对“大学”的主要称呼,这个名词刚刚出现之时,主要用来指称国外的大学,其首次用于称呼本国的新式学堂,即为“北洋大学堂”。该学堂在最初筹办之时,曾先后有过“天津中西学堂”、“西学学堂”等临时性代称,而在其正式成立之后,即被政府当局及社会媒体冠以“大学堂”之名。
1895年9月19日,津海关道盛宣怀在上呈直隶总督兼北洋大臣王文韶的《拟设天津中西学堂章程禀》中明确指出,“当赶紧设立头等、二等学堂各一所”,其中,头等学堂即“外国所谓大学堂也”。9月30日,王文韶在奏请光绪皇帝在津创办“西学学堂”的奏折中,亦沿袭了这一说法。


1895年9月30日,直隶总督兼北洋大臣王文韶奏请光绪皇帝创办西学学堂的奏折(复制件)中的部分内容。10月2日,光绪皇帝在该奏折上御笔朱批“该衙门知道”,并于当日将其以军事急件的形式“四百里马递发回”
10月30日,德国政府与天津地方当局签订了《德国租界设立合同》,其中明文规定:“博文书院及博文书院所有之地,现在中国官改为大学堂。”

天津博文书院校舍——北洋大学堂的诞生地
11月8日,王文韶与盛宣怀在《直报》上联名发布了一条“劝令加捐”的筹款启事,其中明确指出:“查前因天津设立头等二等大学堂……”
12月7日,英国人在天津所办的英文报纸《京津泰晤士报》(Peking and Tientsin Times)刊登了两篇与北洋大学堂有关的报道,一篇名为《天津大学访问记》(A visit to the Tientsin University),该文在结尾处特地用汉字标示出“北洋大学堂”之名,另一篇名为《中国北方大学》(The University of North China),在文中更是进一步标明了该学堂中文名称的英文译音——“Pei-yang-ta-hsüeh-t’ang(北洋大学堂)”。
由上可见,在北洋大学堂创办的当年,其“大学堂”的名称、性质与地位便已得到确认,而这也是中国历史上第一所被政府当局乃至全社会称为“大学堂”的高等学府。即使是在京师大学堂、山西大学堂等其他官办大学堂陆续成立之后,北洋大学堂在一些政府公文中也依然被径直简称为“大学堂”。
第四,北洋大学堂以完整的中等教育及大学预科教育为办学基础。
北洋大学堂在筹办之初,之所以要分设头等学堂(大学本科)与二等学堂(大学预科),就是为了在当时中国的普通教育尚未全面兴起的背景下,由二等学堂直接为头等学堂培养和提供合格的生源。二等学堂的学制定为四年,如此一来,“第五年起,每年即可拨出头班三十名,升入头等学堂”。然而,盛宣怀又考虑到,“若候至五年后设立头等学堂,实有迟暮之憾”,因此,为了加快人才培养的速度,盛宣怀和丁家立便决定直接“在天津、上海、香港招集头等学堂一班学生、二等学堂三班学生”,在此基础上迅速开办大学本科教育。
天津、上海、香港三地开埠较早,其近代新式教育也起步较早,各类新式学堂比比皆是,足以为北洋大学堂的两级学堂提供一定数量的合格生源。在最后实际录取的首批100多名学生中,尤以香港皇仁书院(香港最早的官办中学)、上海广方言馆(上海最早的洋务学堂)以及天津中西书院(由丁家立本人所办)这三所著名新式学堂的毕业生数量为多。
丁家立等人在主持招考工作时,要求极其严格,且尤为看重学生的英文与数学水平。如1895年10月在香港招生时,共有295人报考,但最终只录取了67人,其中仅有来自广东东莞的王宠佑、王宠惠兄弟2人首批被选入头等学堂,其余65人均只能暂入二等学堂学习。随后,丁家立在公告中表示:“此次取中之二等学堂学生,其中如有读过几何、代数等学,实因一时不慎,成稍为生疏,以致不能取入头等学堂者,正可及时用功温习,俟到津后再行复试补取可也。诸生勉之!”由此可见,丁家立在为头等学堂招选学生的过程中,既严格要求,又有一定的策略上的灵活性,归根结底都是为了尽最大努力保证北洋大学堂的生源质量。
此外,盛宣怀在筹办北洋大学堂最初的禀文中,曾一度将二等学堂误称为“外国所谓小学堂也”。不过,根据他所呈报的《二等学堂功课》,其“历年课程”分别为——第一年:英文初学浅书、英文功课书、英字拼法、朗诵书课、数学;第二年:英文文法、英字拼法、朗诵书课、英文尺牍、翻译英文、数学(并量法启蒙);第三年:英文讲解文法、各国史鉴、地舆学、英文官商尺牍、翻译英文、代数学;第四年:各国史鉴、坡鲁伯斯第一年格物书、英文尺牍、翻译英文、平面量地法。从上述课程设置来看,二等学堂显然与一般的中学程度相当或略高一筹,足以达到大学预科的水平。
总之,正是因为有了津、沪、港三地的若干中等教育程度的生源作为基础,北洋大学堂才得以在创办伊始即可直接开办大学本科教育,随后,作为大学预科的二等学堂,又源源不断地为头等学堂提供合格生源,从而初步构筑了一套比较完整的高等教育体系。
第五,北洋大学堂的学科与课程设置基本达到现代大学标准。
根据盛宣怀和丁家立拟定的《头等学堂功课》,在“四次第”的“历年课程”(公共课)之外,另有工程学(土木)、电学(电气)、矿务学、机器学(机械)、律例学5门“专门学”(专业),后来,除电学外,其余4门均成功开设。其中,工程、矿务、机器这3个学科均为当时欧美发达国家工科大学中的主流学科,而律例学更是开中国法学高等教育之先河。
根据《头等学堂功课》的规定,各“专门学”的主要课程有——工程学:专教演习工程机器、测量地学、重学、汽水学、材料性质学、桥梁房顶学、开洞挖地学、水力机器学;矿务学:深奥金石学、化学、矿务房演试、测量矿苗、矿务略兼机器工程学;机器学:深奥重学、材料势力学、机器、汽水机器、绘机器图、机器房演试;律例学:大清律例、各国通商条约、万国公法等。从这些课程的名称来看,显然均为比较精深的专业教育,其中的大多数课程均为国内首创。另外,根据丁家立的要求,绝大多数课程均使用英文原版教科书,并直接用英文进行教学。
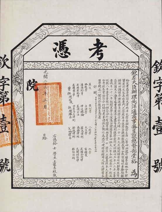
当然,在具体的办学过程中,学堂实际开设的课程亦会有所变通,乃至进一步深化。如1900年初北洋大学堂首届毕业生王宠惠所获“考凭”(毕业文凭)上,就一一列出了他在四年修业期间学习过的所有课程——英文、几何学、八线学、化学、格致学、身理学、天文学、富国策、通商约章、律法总论、罗马律例、英国合同律、英国罪犯律、万国公法、商务律例、民间词讼律、英国宪章、田产易主律例、船政律例、听讼法则,其中门类繁多的法学类专业课程,可谓充分体现了法学高等教育的程度与水准。
第六,北洋大学堂首届毕业生最早被中国政府授予大学本科毕业文凭。
到了1899年底,在北洋大学堂头等学堂头班的首批24名学生中,除有少数几人或“派往日本游学”,或“因事请假未回”,或“学无进益,降入二班”,均不能如期毕业之外,最终共有18人顺利地完成了四年的学业,经时任直隶总督兼北洋大臣裕禄考试合格后,于1900年初被正式授予“考凭”,成为北洋大学堂首届毕业生,而这也是中国人自己培养出来的第一批大学本科毕业生。

1900年初,北洋大学堂第一届全体毕业生合影
在这批毕业生中,王宠惠当年所获“考凭”一直保存至今。其左右两侧绘有象征皇权的蛟龙出海图样,左右边沿均书有“钦字第一号”字样。正文右侧则首先用大号字注明其颁发者的身份——“钦差大臣办理北洋通商事务直隶总督部堂裕”,然后又较为详细地叙述了该届学生的学习经历——“天津北洋大学堂招取学生,由二等四班递升头等头班,分年肄习汉、洋文及各项专门之学,历年由该学堂总办暨总教习、分教习随时考验,均能按照功课,循序渐进”,考虑到该学堂1895年首批招收的学生程度不等,遂自次年起“随其学历深浅,分隶头等学堂第四班及二等各班,现届四年期满,核与八年毕业章程仍相符合”,具体就王宠惠本人而言,“经本大臣复加考核,名实相符”,故“给付考单,俾该生执以为凭,以便因材录用”。最后,还将“该生肄习各项学问逐一开列于后”,并在开头特意用小字附注:“查该生前在香港肄业四年,于光绪二十一年招取,入头等学堂第四班。”这句话再次证明,王宠惠在考入北洋大学堂之前,已经在香港接受过一段时间的正规中学教育,并且基本达到了头等学堂(大学本科)的入学标准。

1900年初,直隶总督兼北洋大臣裕禄为北洋大学堂首位毕业生王宠惠颁发的“钦字第一号”“考凭”,是为有史以来由中国政府颁发的第一张大学本科毕业文凭

北洋大学堂“钦字第一号”“考凭”的获得者,著名法学家、政治家、外交家王宠惠(1881-1958)
总之,北洋大学堂首届毕业生王宠惠在1900年获得的这张“钦字第一号”“考凭”,堪称前无古人,毫无疑问是中国现代高等教育史上由本国政府颁发的第一张大学本科毕业文凭。
第七,北洋大学堂首开中国大学本预科肄业生、毕业生及教师出国留学之先河。
1899年春,北洋大学堂将头等学堂工程专业学生黎科与律例专业学生张煜全、王建祖3人以及二等学堂学生张奎、金邦平、周祖培3人派往日本东京帝国大学留学,此举可谓开中国大学在校本科生及预科生出国留学之先河。当时,东京大学方面的文件将黎科称为“天津大学一级生”,张煜全、王建祖、周祖培为“天津大学二级生”,张奎为“天津大学四级生”,金邦平为“天津大学预备校一级生”,这也从一个侧面充分印证了北洋大学堂当时的办学层次及水准已得到东京大学这所日本最高学府的高度认可,甚至其中的2名预科生还被认为已经具有本科生的水平与程度。
1899年底,在北洋大学堂首届毕业生行将毕业之际,学堂总教习丁家立便根据先前的办学计划,向盛宣怀提出每年派遣10名学生分别前往英、美两国留学,但一时未能实现。1900年夏,随着义和团运动的蔓延与八国联军的入侵,北洋大学堂被迫停办,广大师生为躲避战祸,纷纷星散而去,其中有一部分前往上海南洋公学继续就读或任教。到了1901年夏,盛宣怀决定与时任美国加州伯克利大学东方语言文学讲座教授傅兰雅(John Fryer)合作,委托其带领北洋大学堂的“毕业及头等学生八名”(后又加派一人)赴美国加州伯克利大学学习,并由南洋公学负责管理。
从1901年年中到年底,9名北洋大学堂公费留美学生分三批先后抵达加州伯克利大学就读,其中,陈锦涛曾任北洋大学堂算学教习(后又任教于南洋公学),王宠惠、王宠佑、胡栋朝、薛颂瀛、陆耀庭5人为该学堂首届毕业生,张煜全、严锦荣、吴烓灵3人为头等学堂肄业生,这样,北洋大学堂又开创了中国大学教师及本科毕业生出国留学之先河。这9名学生在加州伯克利大学学习了一年左右之后,该校校长在学校的年度报告中高度称赞他们“在大学里的表现极佳,他们优秀的才华和能力为他们赢得了师生们的尊敬和敬仰”。


1902年2月24日,王宠惠等4名在加州伯克利大学学习的前北洋大学堂学生致盛宣怀的信(部分)
有意思的是,在加州伯克利大学“表现极佳”的张煜全、严锦荣、薛颂瀛、王宠惠等4名“以商律、商务为专科”的北洋“游学生”,却于1902年2月24日联名致信盛宣怀,向他抱怨道:“卜忌利(即伯克利)大学堂创办伊始,学科多未完备,与美国东方各省所设诸学堂其程度相去甚远。盖卜忌利为美国西鄙,僻处一隅,诚如甘陕之于中国,不问而知其非求学之地矣……生等顷在学堂中已居毕业之列,学堂所教授之书,类多在北洋大学堂时已习闻,欲求新学,实无几矣……卜忌利学校中工、矿二科实为美国超等之列,其余各科则自桧以下,无足道矣。”由此可见北洋大学堂当时的办学水平之高。最终,除薛颂瀛外,其余8人均先后转入美国东部的耶鲁大学、哥伦比亚大学、康奈尔大学等办学水平更高的著名大学就读,并且在1902-1906年间,均只用了短短数年的时间,便先后分别获得了法学、经济学、自然科学、矿学及地质学、土木、机械、桥梁等学科专业的博士或硕士学位。
1903年,梁启超在《新大陆游记》中曾经充满自豪地写道:“耶路为美国最著名之大学,吾国学生亦有三人在焉,曰陈君锦涛,曰王君宠佑〔惠〕,曰张君煜全,皆北洋大学堂官费生也……今年夏季卒业,其法律科,王君裒然为举首,受卒业证书时,王君代表全校四千余人致答词,实祖国第一名誉也。是次法律科第一名为黄种人,第二名为黑种人,第三名乃为白种人,各报纸竞纪之,谓从来未有之异数云。”
第八,北洋大学堂本科毕业生在全国各大学中率先被清政府赏给进士出身。
1903年4月,经过新任直隶总督兼北洋大臣袁世凯、北洋大学堂总教习丁家立等人的不懈努力,该学堂在天津西沽武库正式复课,并恢复了大学预科。1905年,又恢复了大学本科(正科)。1910年夏,北洋大学堂的土木、采矿2门共有15名正科生毕业,“是为前清新学制颁定后大学学生毕业之始”。随后,根据《奏定学堂章程》的规定,时任直隶总督陈夔龙将这批学生的“各项考试试卷、教科书籍及学生著论说等”一并汇送至学部,并由学部奏请清政府指派张亨嘉、陈宝琛两位大臣会同学部对其进行最终的毕业考试,“计取列最优等三名,优等八名,中等四名”。由于其中3人正在丁忧期内,学部遂于当年12月10日奏请清政府奖励其余12人,“均拟请赏给进士出身”,并授予实官——最优等3名“受职翰林院编修或检讨”,优等6名“改翰林院庶吉士”,中等3名“以主事分部尽先补用”,并于当日获准,其待遇相当于过去科举殿试及第者中的“一甲”地位。
在1905年科举制度正式废除之后,清政府仍然按照以往的科举旧习,开始对一些学成归国的留学生赏给进士出身。1910年12月10日,北洋大学堂的12名本科毕业生成为国内3所官办大学堂学生中最早获赏进士者;而在此时,京师大学堂这所名义上的“全国最高学府”才刚刚开办大学本科;至于山西大学堂,则直到1911年5月27日才有19名首批本科毕业生与北洋大学堂的又一批20名毕业生一同获赏进士,在时间上要稍晚一些。由此可见,清末的北洋大学堂本科毕业生,在国内最早享有中央政府所认可的全国最高“学历”,因此,该学堂实乃当时全国事实上的最高学府。

1903年,在天津西沽复校的北洋大学堂
综上所述,1895年天津北洋大学堂的诞生,在中国现代高等教育史上无疑具有全方位的开创意义,堪称中国人自主创办现代大学的光辉起点。
来源:光明网