高等数学,定积分之积分中值定理,证明
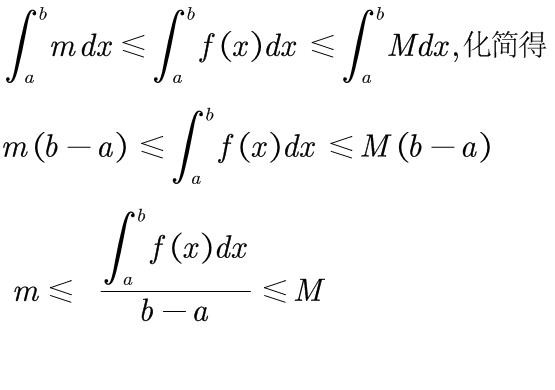
定积分中有一个积分中值定理,定义如下图所示:

证明这个定理需要用到介值定理:

然后对这个不等式进行积分,如下:

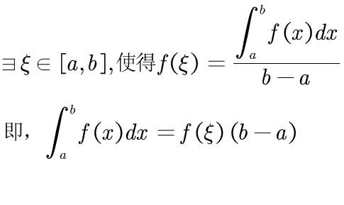
然后再根据介值定理,可证结论:

此外,还有一个积分中值定理的推广,证法完全不同,用法也不同!下期,再证明。
高等数学,定积分之积分中值定理,证明
定积分中有一个积分中值定理,定义如下图所示:

证明这个定理需要用到介值定理:

然后对这个不等式进行积分,如下:

然后再根据介值定理,可证结论:

此外,还有一个积分中值定理的推广,证法完全不同,用法也不同!下期,再证明。
台湾诗人罗门逝世 台湾诗人罗门1月18日于北投逝世,享年90岁。 罗门本名韩仁存,1928年出生于海南岛。他与女诗人蓉子为台湾诗坛著名的夫妻档,享有“台湾诗坛白朗宁夫妇”的美誉...
范范跌伤黑人不在身边 与父母合影露笑容 据香港媒体报道,台湾女星范玮琪(范范)前天在微博自爆因半夜去厕所时,撞伤额头及左眼角,其老公陈建州(黑人)昨天在微博表示要到杭州工...
16种常见蓝莓品种区别及口感,附营养价值...
大男子主义主要有以下一些表现: 1. 过度自信与支配欲:认为自己的观点和决定总是正确的,试图主宰和控制各种事务,包括伴侣的行为和选择。 2. 忽视女性意见:不重视女性的想法...
超级好看的几款女性锁骨纹身,特吸引人。...
《雁南飞》 作者:蔚空 书名《雁南飞》 作者:蔚空 文案: 双向暗恋/别后重逢 同窗四年, 姜雁北和沈楠就像两条永不可能相交的平行线。 一个出身书香世家,成绩优异, 循规蹈矩,...
锑有哪些用途? 锑在自然界中广泛存在,是一个有潜在毒性和致癌性的类金属元素。随着科学技术的发展,锑现在在化工业、医药业中已经有了广泛的应用。 有毒有害物质检测 1、锑化...
每日一句英语(附音频)| “hear from”原来是这个意思! We are always pleased to hear from our customers. 我们不论何时都欢迎顾客来信。 讲解 be pleased to do sth. 高兴做某事,乐意做某事 hear from...
郭氏始源 三省三地 一脉相承 转载山西文化郭氏网郭世科 河南三门峡(诸虢国最后消亡地);山西汾阳(虢国消亡后虢国之民赶迁于此置县虢(瓜)衍,改虢姓为郭姓,尔后随着晋国向北拓展...
摩尔庄园全面重启引发网友热议 摩尔庄园超拉充值会开放吗 [闽南网] 昨晚,《摩尔庄园》官方微博表示:“刚刚 淘米宣布 2019年 摩尔庄园IP全面重启”。 虽然官方并未对重启内容进行...
有人问我监理日志怎么写?还好我有56套监理日志范本不用自己写 做工程写监理日志是必不可少的,直接用范本比你手写强多了,这56套监理日志范本包含各工程非常全面, 需要的主动...
五年级下册数学必考公式汇总,给孩子打印一份吧 注:文章最下方获取完整版...
杭州:招聘会 助就业 ↑ 3月14日拍摄的招聘会现场。 当日,杭州市综合性人才招聘会暨2025年酒店专场在杭州市人才市场举行,60多家参会企业现场推出1100多个工作岗位,助力劳动者求...
官方通报:沈阳一综合楼发生火灾,2名消防员牺牲 据沈阳消防消息,2025年4月2日17时许,沈阳市铁西区建设东路29号一综合楼发生火灾。接到报警后,沈阳市消防救援支队立即调派力量...
足球——德甲:门兴胜奥格斯堡 新华社照片,门兴格拉德巴赫(德国),2019年10月7日 (体育)(3)足球——德甲:门兴胜奥格斯堡 10月6日,门兴格拉德巴赫队球员恩博洛(右)在比...
唐山:2019年10月8日限行提示! 2019年10月8日(周二)限行尾号为 4和9 ,10月8日为十一长假后的首个工作日,预计早高峰期间市区各中小学、幼儿园门前路段及部分施工路段将面临一定程...
|裁剪图|收腰打底连衣裙简易裁剪图分享!(附款式图) 收腰打底连衣裙简易裁剪图分享! 还没有自己原型的伙伴儿点这里,可以用我之间推送的简易原型来转换哦! 坚持原创分享,每天...
Android中ListView的使用方法 使用ListView的步骤 1、创建一个ListView布局 2、创建bean,里面存放着每个listview item的属性值 3、在listview中通过list存放bean对象 4、创建一个Adapter类,并继承Base...
微信辅助平台还有哪些?码力、众帮怎么获得? 微信辅助平台之前最火的便是FZ啦。但是由于12月23日就停了,所以剩下的码力,众帮就变得十分可贵了。那么这里笔者推荐大家多找一些...
《旧梦》女声完整版,好听的很。 旧梦。 今夜风阵阵,今夜雨蒙蒙雨蒙蒙。我不能忘记往日的忆,往日的蜜意柔情。今夜泪涟涟,今夜雾茫茫,今夜歌声声。我怎能抛却对你的念,默...