电磁感应定律基础讲解(每日学一点之电磁感应定律)
电磁感应定律基础讲解(每日学一点之电磁感应定律)
1820 年,丹麦物理学家奥斯特发现电流可以使周围的小磁针发生偏转,称为电流磁效应。
1831 年英国物理学家法拉第发现了由磁场产生电流的条件和规律——称之为电磁感应定律。
如果这样来理解,比较容易理解,
电流的磁效应是------电生磁;电磁感应是------磁生电,在电磁感应中得到的电流称为感应电流,得到的电动势称为感应电动势。
其中判定感应电流的方向由楞次定律可知,(由1834 年,俄国物理学家楞次发表确定感应电流方向的定律——楞次定律),感应电流的磁场总要阻碍引起感应电流磁通量的变化。
其感应电流的方向有几句简单的话语:
增反减同---磁通量变化
来拒去留---导体相对运动
增缩减扩---线圈
满足右手螺旋定则,四指是电流绕向,大拇指指向磁场方向。

线圈不动,磁铁插入或拔出,指针都会摆动,说明产生了感应电流(图片来源网络)
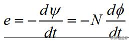
感应电动势的公式:

当穿过回路所包围面积的磁通量发生变化时,回路中产生的感应电动势与穿过回路的磁通量对时间变化率的负值成正比。 负号表示感应电动势总是反抗磁通量的变化。

直导线在磁场中运动的感生电动势表达式
其中:B是磁感应强度,单位T; L是导体长度,单位m; V是切割磁感线运动的速度,单位(m/s).
,
标签:
149
狄青简介(狄青北宋时期名将) 狄青北宋时期名将 人物简介 狄青(1008年-1057年),字汉臣,汾州西河(今山西)人,面有刺字,善骑射,人称“面涅将军”。他出身贫寒,宋仁宗宝...
129
女朋友生日礼物送什么好?浪漫的生日礼物推荐 女朋友过生日的时候,送什么礼物成了许多男性纠结的问题,其实送女朋友生日礼物要考虑的无非以下三个方面: 1) 礼物的基础要素就...
95
樊振东朱雨玲的关系(小胖樊振东的女友是朱雨玲吗) 近日,有媒体报道新赛季的中国乒超联赛将会在12月底左右开赛,实际上在11月国际乒联一系列重启赛事举办的时候,就有媒体报...
174
飞亚达算什么档次 飞亚达,国产高级腕表品牌,创立于1987年,总部位于中国深圳。飞亚达可以说代表了国产腕表的高度和内涵,其母公司飞亚达股份有限公司,是中国境内唯一一家上...
126
妹妹结婚哥哥送什么礼物,送什么寓意好 当你作为一位哥哥,自己的妹妹结婚的时候,除了亲自去祝福,也是要带一份礼物过去的,这样显得自己更加的疼爱自己的妹妹。那么在这个时...
118
女朋友开始抖了继续会怎样 女朋友开始抖了还继续吗 高潮是女性性爱中非常重要的一部分,它不仅是性爱的高潮,同时也是女性身体和心理上的一种释放。当女朋友高潮后,她的身体...
148
刚和别人做完八次回家能发现吗 刚做完有什么表现吗 刚和别人做完八次回家能发现吗?刚下班回到家,发现老婆满面的红潮,走路看着腿有点抖,觉得她好像刚和别人做过那事,走到卧...
90
你好星期六主持人名单(李一桐韩聪隋文静金博洋变身主播) 你了解你的妈妈吗?你会帮妈妈做家务吗?今晚(5月14日)8:10,湖南卫视《你好,星期六》将上演一场趣味十足的“小棉...
56
萍儿手作(附青果领编织方法) (出处: 编织人生论坛)…… #编织人生热帖推荐# 萍儿手作(附青果领编织方法) (出处: 编织人生论坛) 说一下我的青果领编织方法: 第一行从衣身右边正...
174
高晓松老婆(高晓松老婆前妻) 高晓松老婆及高晓松老婆前妻:两段婚姻的故事 高晓松,是中国娱乐圈中备受瞩目的音乐人、主持人、作家。他的才华与魅力吸引了无数人的眼球,但是他...
166
东边日出西边雨全诗句(东边日出西边雨竟无语凝噎全诗) 欢迎大家阅读“景德镇南河公安”头条号。如果您喜欢本头条号发布的文章,还可点击左上角关注我的头条号,每天都有精彩文...
190
当年击毙本拉登的海豹六队后来怎么样了? 海豹突击队第六分队(简称海豹六队;英文缩写:ST6),与三角洲部队和第24特种战术中队,同为特种作战部队中级别最高的第一级(Tier 1)...
63
发膜比护发素好吗 发膜和护发素一样嘛 发膜 ,是一种滋润头发的“焗油膏”,它像是女性涂晚霜,是一个深层养护的过程,发膜中含有的是营养物质和水分,它们会透过头发上的毛鳞...
109
干洗衣服串色了怎么恢复原样(衣服染色串色就不用去干洗店了) 是不是很多集美们在衣服染色的时候会根据衣服本身的money来做选择。如果衣服是非常贵然后看上去是新的还能穿好几...
67
帝俊介绍(帝俊中国神话中的上古天帝) 帝俊中国神话中的上古天帝 中文名:帝俊 别 名:帝夋 国 籍:中国 民 族:华夏族 信仰:上古道家 职业:古帝 登场作品:《山海经》《精卫...
77
电脑上()符号怎么打出来(电脑上符号怎么打出来邮箱符号) 当代年轻人网上“冲浪”离开表情包似乎已经不会说话了……每一个表情包都有属于自己独特的灵魂,也成了年轻人日常交...
104
儿童故事《小红帽》的原版充满恐怖 暴力和性暗示 小红帽的故事版本多达一百多个,小红帽最早的结局是被邪恶的野狼吞噬。儿童故事《小红帽》的原版充满恐怖,暴力和性暗示。 最...
183
内心的力量从哪里来 内心的力量是指一个人面对困难时,能够坚定不移地去面对和克服。这个力量可以形成于许多方面,包括生活经历、家庭背景、性格特点、自我意识和价值观等等。...
193
农历6月19是观世音菩萨什么日子(祈请佛菩萨赐福加持) 今日农历六月初一,是佛教香期,也是十斋日之一。更是传统节日“过半年”,这意味着上半年的结束,下半年的开端。 十斋...
175
农村二级残疾补助标准是多少(农村二级残疾证一年补贴) 今天说的人是我的小姑子,先说一下她的情况,今年12岁了,身高125,体重40斤,外貌有明显的唐氏,发育迟缓。智商是4岁左...